Full Swing Ahead By Larry Neeck Extra Full Score Sheet Music
Full Swing Ahead By Larry Neeck Score And Set Of Parts Sheet
Full Swing Ahead By Larry Neeck Performed By The Ab Paterson
Full Swing Ahead By Larry Neeck A B Paterson College Big Band
Full Swing Ahead Larry Neeck Jazz Ensemble Learn To Play Music
5 4 On The Richter Scale By Larry Neeck J W Pepper Sheet Music
Larry Neeck Composer Arranger 2 Concert Band Noten
Larry Neeck Composer Arranger 2 Concert Band Noten
Full Swing Ahead Larry Neeck Youtube
5 4 On The Richter Scale By Larry Neeck J W Pepper Sheet Music
Best Middle School Jazz Band List Cyberwindsmusic Com
Catalogus Mui Harmonie 2011 By Monique Ketelaar Issuu
5 4 On The Richter Scale By Larry Neeck Extra Full Score Sheet
Neeck Larry Composer Page 6 Of 28 Presto Sheet Music
5 4 On The Richter Scale By Larry Neeck J W Pepper Sheet Music
Docslide Us Band Music Library Jazz Music Jazz Saxophone
April In Paris Eje2 In 2019 Jazz Sheet Music Jazz Uptown Funk
Best Middle School Jazz Band List
Calameo Hal Leonard Australia Band Orchestra Catalogue 2018
Jazz Band Library Home Illinois Music Education Imea
Malaguena Full Big Band Stan Kenton Jazz African American
Https Cdn Shopify Com S Files 1 0776 0063 Files Hal Leonard Resourse Guide Pdf
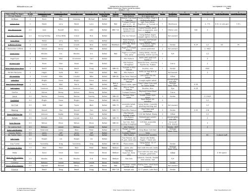
Band Num Ber Title Composer Arranger Pub Yr Class
Big Band Library 1 25 Sound Big Band Library 1 25 9
Chart Recomendations For School Jazz Ensembles Recomendations For
Larry Neeck Composer Arranger 2 Concert Band Noten
Best Middle School Jazz Band List
Https Www Bandmasters Org Component Rsfiles Preview Path Magazine 2barchive 252f2012 2bsummer 2bmagazine Pdf
21 Best Band Music Selections Images Band Music Sheet Music
Latham Pennysaver 051018 By Capital Region Weekly Newspapers Issuu
Title Composer Arranger Publisher Style Difficulty Mshsl
Https Westsherburnetribune Com Sites Default Files Page 206 Employment 7 Pdf
Hhs Jazz Band Full Swing Ahead Dec 15 2013 Youtube
Https Www Bandmasters Org Component Rsfiles Preview Path Magazine 2barchive 252f2012 2bwinter 2bmagazine Pdf
The Minneapolis Star From Minneapolis Minnesota On April 30 1969
5 4 On The Richter Scale By Larry Neeck J W Pepper Sheet Music
Sheet Music 702 Shuffle Jazz Ensemble
Chart Recomendations For School Jazz Ensembles Pdf Document
Everything Band Podcast Toppodcast Com
Talented Student Musicians Create Magical Moments At Annual Jazz
Sheet Music Jim Bim Bop Shuffle Jazz Ensemble
Https Fcjournal Net Wp Content Uploads 2017 06 6 1 2017e Edition Pdf
Https Cdn Shopify Com S Files 1 0776 0063 Files Hal Leonard Resourse Guide Pdf
Https Www Snc Edu Magazine Pdfs 2015v47n3 Pdf
In Order To Teach Proper Jazz Style One Must Learn The Jazz
Winter Concert Program Saxophone Tenor Saxophone
Https Www Samoset Org Document Samoset1990 2010 148955
Https Fcjournal Net Wp Content Uploads 2017 06 6 1 2017e Edition Pdf
Eagle Song By Bob Baker Reimagined By Robert Buckley By Hal
Http Bandworld Org Pdfs Bw263all Pdf
Developing Your Middle School Jazz Program Kansas Music Review
Larry Neeck Composer Arranger 2 Concert Band Noten
Http Saltspringarchives Com Driftwood 2012 V52n17april25 2012 Pdf
University Of Wisconsin Eau Claire Periscope Yearbook Eau
Best Middle School Jazz Band List Cyberwindsmusic Com
Clifton Park South Pennysaver 051018 By Capital Region Weekly
Https Westsherburnetribune Com Sites Default Files Page 206 Employment 7 Pdf
Http Bloximages Newyork1 Vip Townnews Com Postbulletin Com Content Tncms Assets V3 Editorial 0 C2 0c2118a4 5789 11e3 879d 001a4bcf6878 52963076f2b27 Pdf Pdf
41 Best Music Education Images Music Education Teaching Music
Http Bandworld Org Pdfs Bw263all Pdf
J F O L T L Y R 7 R Rince Williiii Suppl M Nt To Hi
Https Runmdra Org Wp Content Uploads 2019 03 Runmn Winter2019 Web Pdf
Https Ed Sc Gov Scdoe Assets File Instruction Standards Visual 20arts Teachingstandards Basedcreativityinthearts Pdf
The Brooklyn Daily Eagle From Brooklyn New York On May 9 1952
Jazz Band Library Home Illinois Music Education Imea
Https Www Bandmasters Org Component Rsfiles Preview Path Magazine 2barchive 252f2012 2bwinter 2bmagazine Pdf
Https Www Samoset Org Document Samoset1990 2010 148955
Https Gustavus Edu Quarterly Files Quarterly Winter 07 Pdf










0 Response to "Full Swing Ahead Larry Neeck"
Post a Comment